2014 2020 Form My Upp 1 Fill Online Printable Fillable Blank Pdffiller
Guide For Online Registration For Green Card Application Youtube
How To Register For Sicw Green Card Cidb Personal Individual Youtube
How To Register As Cidb Online User Pendaftaran Personal Individual Youtube
Cidb Green Card Birth Certificate Government And Personhood
Cidb Form Fill Out And Sign Printable Pdf Template Signnow
Cidb Green Card Contractor License Home Facebook
Alert Renewal Of Construction Industry Development Board Cidb Green Card Yusrina Hasmi
Renew Cidb Green Card Persendirian Miera Hassan
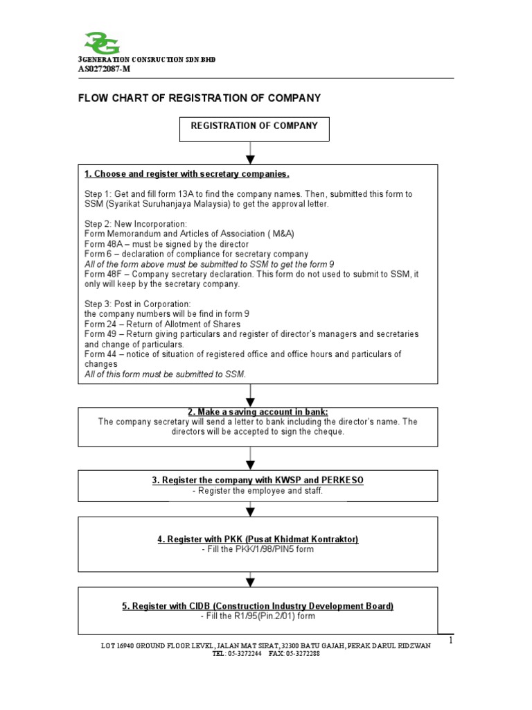
2
Employment Pass Application For Foreign Workers Construction Plus Asia
Green Card Cidb Photos Facebook
Cidb Green Card Renewal Youtube
Safety And Health Assessment System In Construction Ppt Video Online Download
Cims Cidb Registration Local Construction Personnel By Company Part 2 Eng Youtube
Online Cidb Malaysia Home Facebook
Renew Cidb Green Card Melalui Sistem Online Dunia Blog Iq
Flow Chart Deep Foundation Framing Construction